
1、团队负责人:李兆
2、团队情况
团队成员共计9人,包括教授3名,副教授1名,讲师5名,其中5名教师具有博士学历。目前团队累计获批省部级、厅局级项目10项,横向课题10余项,发表科研论文50余篇,其中被SCI检索30篇,授权国家发明专利10余项。
3、团队主要研究领域
① 锂/钠离子电池用电极材料的制备及电化学性能研究
② 新型纳米孔结构燃料电池材料的调控制备
③ 高性能发光材料的控制合成及应用
④ 反铁电储能陶瓷的制备及介电性能研究
⑤ 高性能催化剂的制备及性能研究
4、所取得的标志性成果
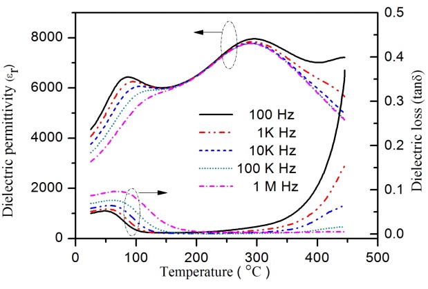
(1)通过固相反应法制备的BNT-BLZT反铁电陶瓷,其晶粒尺寸细小均匀,介电常数最大值在8000左右,该材料的MPB区域宽泛,材料的最大抗击穿强度和储能密度显著提高,抗击穿强度最大值为90 kV/cm,储能密度达到1.58J/cm3。

图1 BNT-BLZT反铁电陶瓷的微观组织和介电性能
(2)采用水热合成法,调控SnS2微观形貌,并加入柔性导电石墨烯,成功合成三维弹性超薄还原氧化石墨烯包裹SnS2分级微球,并将其作为锂离子电池负极材料,组装成扣式电池研究其电化学性能,探索复合结构协同电化学反应机制,开发出循环稳定性和倍率性能优异的三维SnS2@RGO材料,并为类似材料提供技术支撑和理论指导。

图2 SnS2@RGO 复合材料的循环伏安曲线(a),SnS2@RGO复合材料和纯相SnS2前十次恒流充放电曲线(b) (c)及SnS2@RGO电极的容量差分曲线(d)
(3)采用一步水热法合成镍铜磷复合电催化剂(NiCuP/NM),该催化剂表现出优异的催化活性,为纳米尺度的合成提供了一个新的视角,推动新型纳米孔结构材料在燃料电池、电解水制氢和传感器应用中的发展。

图3 NiCuP/NM复合电极的(a,b)FESEM、(c)EDX谱及(d)Mapping
(4)采用高温固相法制备了ScVO4:Eu3+红色荧光粉,所合成的ScVO4:Eu3+红色荧光粉为四方锆石型结构。ScVO4:Eu3+红色荧光粉CIE色坐标为(0.6716,0.3273),是一种有望用于白光LED的高效红色荧光粉。

图4 ScVO4:Eu3+荧光粉的激发光谱和发射光谱
(5)通过对纤维织物表面进行改性的方法,利用聚乙烯亚胺和氧化石墨烯来修饰纤维织物的表面,改善了纤维织物复合材料的界面结合,显著提高了复合材料的耐磨性,为制备高耐磨高承载的聚合物基复合材料提供了关键技术。

图5 纤维表面处理前后的形貌照片